Materi Usaha Dan Energi Smp Kelas 8 Ppt

Usaha Dan Energi Smp Kelas Viii Diana 2009

Usaha Dan Energi Smp Kelas Viii Diana 2009

Ppt Usaha Dan Energi Sma

Ppt Usaha Dan Energi Sma

Usaha Energi Ppt Authorstream

Usaha Energi Ppt Authorstream

Energi Usaha Dan Daya Gita Nurul Puspita M Pd Ppt Download

Energi Usaha Dan Daya Gita Nurul Puspita M Pd Ppt Download

Bab 4 Usaha Dan Energi Standar Kompetensi Kompetensi Dasar Indikator Ppt Download

Bab 4 Usaha Dan Energi Standar Kompetensi Kompetensi Dasar Indikator Ppt Download

Usaha Dan Energi

Usaha Dan Energi

Usaha Dan Energi

Energi dan usaha 1.

Materi usaha dan energi smp kelas 8 ppt.

Ppt usaha dan energi sma 1. Memahami konsep dan peranan usaha gaya dan energi dalam kehidupan sehari hari. Energi dan usaha ipa kelas 8 admin 2016 07 18t19 24 00 07 00 5 0 stars based on 35 reviews a. Fisika kelas 8.

Sehingga belajar akan terasa lebih mudah untuk mengetahui materi secara lengkap. Besarnya usaha ditentukan oleh besarnya gaya yang diberikan pada bend rangkuman materi usaha dan pesawat sederhana dalam kehidupan sehari hari kelas 8 materikimia. Materi tersebut sudah saya susun secara runtun menarik dan begitu detail. Saya yakin akan lebih mudah kalian pelajari materi tersebut.

U ntuk rekan rekan guru pengajar fisika di smp dan juga anak anak smp kelas viii yang memerlukan materi presentasi fisika powerpoint tentang usaha energi dan pesawat sederhana di blog berbagi bersama hidup semakin terasa bermakna ini telah saya sediakan. Home ipa kelas viii smp materi ipa usaha dan energi di sekitar kita usaha dan energi di sekitar kita ayo kita belajar tentang usaha dan energi semoga kita banyak mendapatkan ilmu denganbelajar usaha dan energi ini dan dapat kita gunakan dalam kehiduapn sehari hari kita. Selain dapat mempermudah membuat peta konsep rangkuman materi juga bisa mempermudah guru. 1 perhatikan gambar berikut sebuah kotak ditarik dengan gaya f sebesar 12 newton.

Usaha w usaha adalah energi yang diperlukan untuk memindahkan kedudukan suatu benda. Rangkuman materi ipa kelas 8 rangkuman materi sangat diperlukan ketika ingin mempelajari semua materi secara menyeluruh biasanya rangkuman materi ipa akan mempermudah siswa dalam membuat peta konsep pada materi tersebut. Dengan kita memahami materi pelajaran tersebut kita akan tahu peranan dari usaha dan energi dalam kehidupan sehari hari. Menjelaskan hubungan bentuk energi dan perubahannya prinsipusaha dan energi serta penerapannya dalam kehidupan sehari hari.

Pendahuluan usaha energi ra standar kompetensi.

Ppt Usaha Dan Energi Powerpoint Presentation Free To Download Id 4b3309 Mdgwz

Ppt Usaha Dan Energi Powerpoint Presentation Free To Download Id 4b3309 Mdgwz

Ipa Fisika Gaya Hukum Newton Usaha Dan Energi

Ipa Fisika Gaya Hukum Newton Usaha Dan Energi

4 Usaha Dan Energi Authorstream

4 Usaha Dan Energi Authorstream

Bahan Ajar Usaha Dan Energi

Bahan Ajar Usaha Dan Energi

Bab 4 Usaha Dan Energi

Bab 4 Usaha Dan Energi

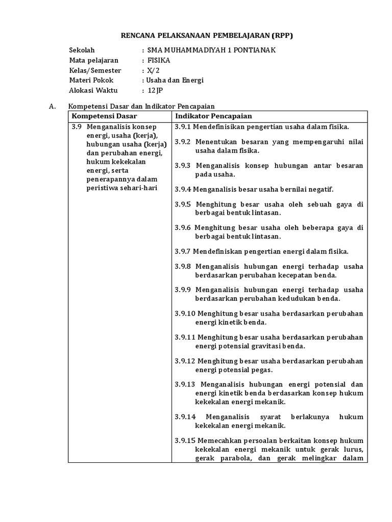
Rpp Usaha Dan Energi

Rpp Usaha Dan Energi

Usaha Dan Energi Authorstream

Usaha Dan Energi Authorstream

Doc Rpp Usaha Dan Energi Annisa Noviari Putri Academia Edu

Doc Rpp Usaha Dan Energi Annisa Noviari Putri Academia Edu

Usaha Dan Energi Ppt Ppl I

Usaha Dan Energi Ppt Ppl I

Usaha Dan Energi Soal Dan Pembahasan

Usaha Dan Energi Soal Dan Pembahasan

Rpp Tentang Usaha Energi

Rpp Tentang Usaha Energi

Usaha Dan Energi

Usaha Dan Energi

4 Sma Kelas Xi Rpp Kd 3 3 Dan 4 3 Usaha Karlina 1308233 Final

4 Sma Kelas Xi Rpp Kd 3 3 Dan 4 3 Usaha Karlina 1308233 Final

5 Gaya Usaha Dan Energi

5 Gaya Usaha Dan Energi

Laporan Praktikum Fisika Energi Potensial Dan Usaha

Laporan Praktikum Fisika Energi Potensial Dan Usaha

Contoh Soal Fisika Energi Potensial

Contoh Soal Fisika Energi Potensial

Besaran Dan Satuan Impuls Dan Momentum Usaha Dan Energai Dan Elasti

Besaran Dan Satuan Impuls Dan Momentum Usaha Dan Energai Dan Elasti

Soal Soal Usaha Dan Energi

Soal Soal Usaha Dan Energi

178827570 Contoh Soal Dan Pembahasan Tentang Usaha Dan Energi Docx Pdf

178827570 Contoh Soal Dan Pembahasan Tentang Usaha Dan Energi Docx Pdf

Contoh Soal Energi Kinetik Dan Usaha Fisika Gurumuda Net

Contoh Soal Energi Kinetik Dan Usaha Fisika Gurumuda Net

Usaha Dan Energi

Usaha Dan Energi

Rpp Usaha Dan Energi

Rpp Usaha Dan Energi

Makalah Usaha Dan Energi

Makalah Usaha Dan Energi

Silabus Usaha Dan Energi

Silabus Usaha Dan Energi

Usaha Dan Energi

Usaha Dan Energi

Contoh Soal Fisika Materi Usaha Dan Energi Belajar Bercocok Tanam

Contoh Soal Fisika Materi Usaha Dan Energi Belajar Bercocok Tanam

Materi Tentang Energi Guru Ilmu Sosial

Materi Tentang Energi Guru Ilmu Sosial

Soal Latihan Usaha Dan Energi Kelas 8 Pilihan Ganda Dan Esay

Soal Latihan Usaha Dan Energi Kelas 8 Pilihan Ganda Dan Esay

Www Banksoal Web Id Soal Latihan Un Kimia Sma Kelas Xii Ipa Paket 10 1 Ipa Protein C Dan B

Www Banksoal Web Id Soal Latihan Un Kimia Sma Kelas Xii Ipa Paket 10 1 Ipa Protein C Dan B

Kumpulan Ilmu Dan Pengetahuan Penting Contoh Soal Fisika Energi Dan Usaha Kelas 10

Kumpulan Ilmu Dan Pengetahuan Penting Contoh Soal Fisika Energi Dan Usaha Kelas 10

Fisika Kelas 8 Usaha Pswt Sederhana 2 Usaha Dan Energi Hubungan Usaha Dan Energi Youtube

Fisika Kelas 8 Usaha Pswt Sederhana 2 Usaha Dan Energi Hubungan Usaha Dan Energi Youtube

Video Pembelajaran Fisika Mateti Usaha Dan Energi Youtube

Video Pembelajaran Fisika Mateti Usaha Dan Energi Youtube

Pdf 5b 60 Rpp Kelas X Usaha Dan Energi Pdf Silva Isfahani Academia Edu

Pdf 5b 60 Rpp Kelas X Usaha Dan Energi Pdf Silva Isfahani Academia Edu

Pengertian Usaha Dan Energi Fisika Smp Mts Kelas Viii

Pengertian Usaha Dan Energi Fisika Smp Mts Kelas Viii

Ppt Usaha Dan Energi

Ppt Usaha Dan Energi

Usaha Dan Energi Nick Doc

Usaha Dan Energi Nick Doc

Pdf Handout Fisika Usaha Energi Dan Daya Dhita Kusuma Dewi Academia Edu

Pdf Handout Fisika Usaha Energi Dan Daya Dhita Kusuma Dewi Academia Edu

Ilmu Pengetahuan 2 Contoh Soal Fisika Kelas 10 Tentang Usaha Dan Energi

Ilmu Pengetahuan 2 Contoh Soal Fisika Kelas 10 Tentang Usaha Dan Energi

Usaha Dan Energi

Usaha Dan Energi

Kelas Viii Semester Genap Ppt Download

Kelas Viii Semester Genap Ppt Download

Rpp Usaha Energi

Rpp Usaha Energi

Buku Siswa Usaha Dan Energi

Buku Siswa Usaha Dan Energi

Contoh Soal Hots Unbk Sma Soal Contoh Soal Fisika Materi Usaha Dan Energi

Contoh Soal Hots Unbk Sma Soal Contoh Soal Fisika Materi Usaha Dan Energi

Pengembangan Media Pembelajaran Poster Berbasis Pictorial Riddle Untuk Meningkatkan Minat Dan Hasil Belajar Fisika Siswa Kelas X Sma Negei 1 Jogonalan Pdf Free Download

Pengembangan Media Pembelajaran Poster Berbasis Pictorial Riddle Untuk Meningkatkan Minat Dan Hasil Belajar Fisika Siswa Kelas X Sma Negei 1 Jogonalan Pdf Free Download

Source : pinterest.com